suppressPackageStartupMessages({
library(tidyverse)
library(tidymodels)
library(survival)
library(cowplot)
library(future)
library(furrr)
library(censored)
library(shapviz)
library(fastshap)
})
theme_set(theme_cowplot())
options(repr.plot.width = 15, repr.plot.height = 9)
set.seed(42)
# the multi model fitting process will use multiple cores
plan(multicore, workers = 6)

Survival prediction models, part 2#

In part 1 we learned how to train different survival models and compare them with the concordance index.

However there are other survival metrics that we might want to consider, depending on the context, in this notebook we will explore these metrics.

Dataset preprocessing#

This time we will use the censored::time_to_million dataset:

head(time_to_million)
A tibble: 6 × 49
titletimeeventreleasedreleased_theatersdistributoryearratedruntimeactionmandarinusaindiamexicoukfrancechinacanadajapanaustralia
<chr><dbl><dbl><date><dbl><fct><dbl><fct><dbl><dbl><dbl><dbl><dbl><dbl><dbl><dbl><dbl><dbl><dbl><dbl>
10 Cloverfield Lane 0.11134277831853312016-03-113427paramount_pi 2016pg_1310310100000000
102 Not Out 10.65497101512443812018-05-04 102sony_pictures 2018pg 10200010000000
12 Strong 0.17627892120120712018-01-193018warner_bros 2018r 13010100000000
3 idiotas 9.40662654068797212017-06-02 349lionsgate 2017pg_1310600001000000
47 Meters Down 0.22897300797490112017-06-162471entertainmen 2017pg_13 8900000100000
7 Days in Entebbe 1.71317087709116012018-03-16 838focus_features2018pg_1310710100110000
data <- 
    # remove rows with missing data
    na.omit(time_to_million) |> 
    # the surv variable will be our outcome
    mutate(surv=Surv(time, event)) 
dim(data)
  1. 551
  2. 50
# separate 20% of the dataset for testing the models later
data_split <- initial_split(data, prop = 0.8, strata=time)
# create a recipe, to prepare the data for fitting
rec <- recipe(surv ~ ., data=data) |>
    # remove uneeded variables
    step_rm(time, event, title, released) |> 
    # convert factors to integers
    step_integer(all_nominal_predictors()) |>
    # remove variables with zero variance
    step_zv(all_predictors()) |>
    # center and scale all numeric variables
    step_normalize(all_numeric_predictors())

Model definitions#

models <- list(
    cox_ph_survival = proportional_hazards(engine='survival'),
    cox_ph_glmnet = proportional_hazards(penalty=tune(), mixture=tune(), engine='glmnet'),
    survreg_flexsurv = survival_reg(engine='flexsurv'),
    rand_forest_partykit = rand_forest(trees = tune(), engine='partykit'),
    rand_forest_aorsf = rand_forest(trees = tune(), engine='aorsf'),
    decision_tree_partykit = decision_tree(engine='partykit'),
    boost_tree_mboost = boost_tree(trees = tune(), engine='mboost')
) |>
map(~set_mode(.x,'censored regression'))
wsets <- workflow_set(
    preproc=list(rec),
    models=models
)

Model fitting#

# 5-fold cross-validation resampling for the tunning and comparisons
folds <- vfold_cv(training(data_split), v=5, strata=time)

Some metrics are only evaluated at specific time points, for example,

you might be interested in a model that can predict 1-year survival of cancer patients undergoing a treatment,

so its always important to consider the question you want to answer.

Here we will partition the time points with quantiles, but we could have used equally spaced time points instead, depends on your data.

eval_time_points <-
    with(training(data_split), 
         quantile(time, p=seq(0.01, 0.99, length.out = 20))
    )
eval_time_points
1%
0.0151560308243856
6.157895%
0.0424028085643098
11.31579%
0.0654215224706485
16.47368%
0.0910562799996761
21.63158%
0.10910910525672
26.78947%
0.140891877015565
31.94737%
0.172892207960269
37.10526%
0.200354610941643
42.26316%
0.233666944396109
47.42105%
0.264861003383604
52.57895%
0.333096401335164
57.73684%
0.429883980992403
62.89474%
0.597292977256363
68.05263%
0.738947868445357
73.21053%
1.14859426585908
78.36842%
1.72592274879734
83.52632%
2.62600273701295
88.68421%
7.18309059689147
93.84211%
10.7500402599578
99%
42
res <- workflow_map(
    wsets,
    "tune_grid",
    seed = 42,
    grid = 5,
    resamples = folds,
    # these metrics will be calculated for each fit
    metrics=metric_set(brier_survival_integrated, brier_survival, roc_auc_survival, concordance_survival),
    # some metrics are evaluated at specific time points
    eval_time = eval_time_points
)
tune_metrics <- collect_metrics(res)

This time we added more metrics to evaluate, each metric is calculated differently, its important to understand how each of these metrics work and what you want to predict in order to choose the best metric for your data:

  • roc_auc: measures the area under the ROC curve for each of the chosen time points

  • brier_score: mean squared error for each time points, lower is better.

  • concordance index: measures if the time predictions are concordant (events are ordered correctly)

  • integrated brier: summary of the brier score over all given time points, lower is better.

tune_metrics |>
filter(!is.na(.eval_time)) |>
group_by(.metric) |>
group_map(function(df, g) {
    ggplot(df,aes(x=factor(round(.eval_time,2)), y=paste(wflow_id, .config), fill=mean)) +
    geom_tile() +
    coord_cartesian(expand=0) +
    scale_fill_viridis_c(option='turbo') + labs(title=g, x='eval_time (days)', y='')
}) 
[[1]]

[[2]]
../../_images/90899b568ce3d448abbbcebab4daa5973b7a702b96a61f9d66f5c9cd3d41020e.png ../../_images/8e54fec97444a9393bade52a5154c0574e56d532bc8172ddd993ff82155aa935.png
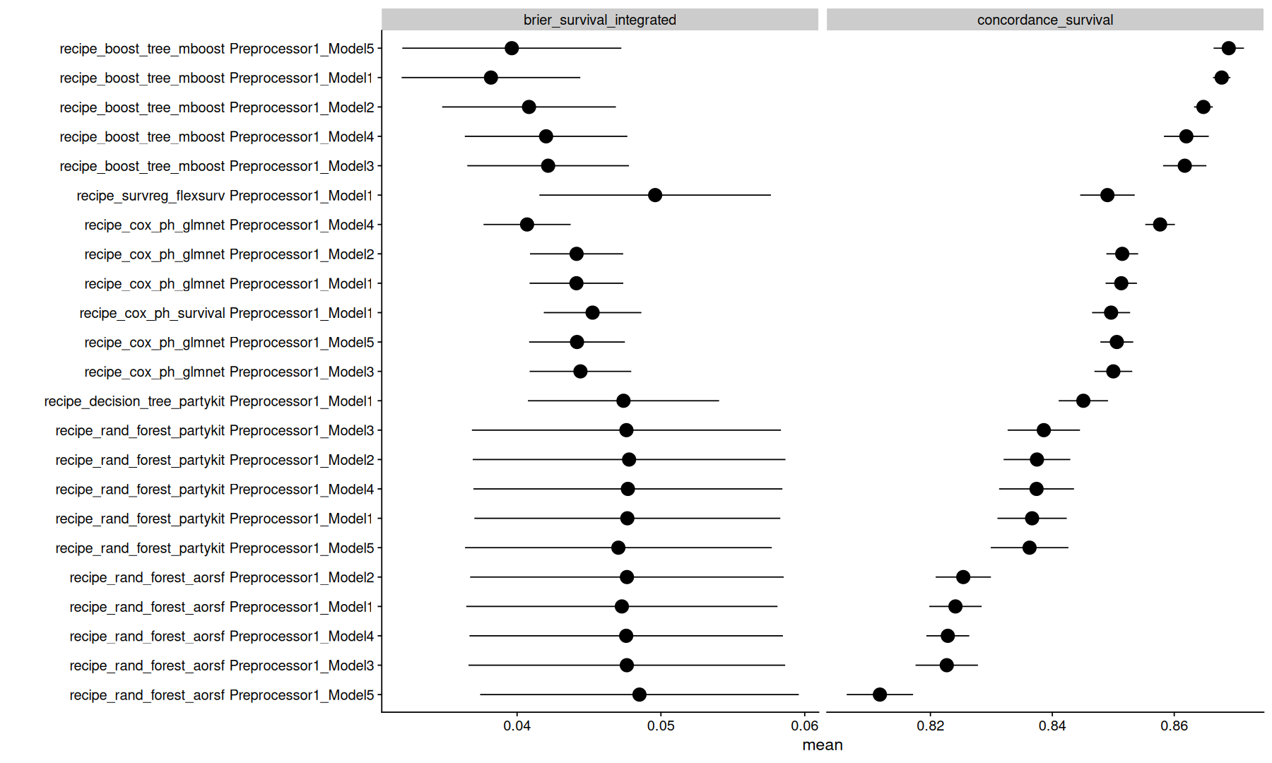
tune_metrics |>
filter(is.na(.eval_time)) |>
arrange(.metric, mean) |>
ggplot(aes(y=fct_reorder(paste(wflow_id, .config), mean), x=mean)) +
geom_point(size=5) +
geom_pointrange(aes(xmin=mean-std_err, xmax=mean+std_err)) +
facet_wrap(~.metric, scales='free_x') +
labs(y='')

Note that, the model with lowest integrated brier might not necessarly be the same as the model with highest concordance.

Again, its important to understand the difference between these metrics to decide which metric is better to optimize.

Fit the best models with all the training data#

final_fits <- 
    # map across each model in the table above
    set_names(unique(tune_metrics$wflow_id)) |>
    future_map(function(wi) {
        # select the best model config, in case of tunnable parameters
        bwr <- extract_workflow_set_result(res, wi)
        best_params <- select_best(bwr, metric='concordance_survival')
        bw <- finalize_workflow(
            extract_workflow(res, wi), 
            best_params
        )
    
        # re-fit the best config with the initial 80% train / 20% test
        fit <- last_fit(
            bw,
            split = data_split,
            metrics = metric_set(brier_survival_integrated, brier_survival, roc_auc_survival, concordance_survival),
            eval_time = eval_time_points
        )

        metrics <- collect_metrics(fit) |>
        mutate(wflow_id = wi, .config = best_params$.config)

        list(fit=list(fit), metrics=metrics)
    }, .options = furrr_options(seed = T)) |>
    list_transpose()
list_rbind(final_fits$metrics) |>
inner_join(tune_metrics) |>
filter(is.na(.eval_time)) |>
ggplot(aes(y=fct_reorder(wflow_id,mean), x=mean)) +
geom_point(size=4) +
geom_point(aes(x=.estimate), shape=3, size=3, stroke=3, color='darkred') +
geom_pointrange(aes(xmin=mean-std_err, xmax=mean+std_err)) +
labs(x='estimate', y='models') +
facet_wrap(~.metric, scales='free_x')
Joining with `by = join_by(.metric, .estimator, .eval_time, .config, wflow_id)`
../../_images/4941f8814a75404f7b41595e1e6d1c52fa4571d9a824b0c93b2d5cbcfbcd9a74.png
list_rbind(final_fits$metrics) |>
inner_join(tune_metrics) |>
filter(!is.na(.eval_time)) |>
group_by(.metric) |>
group_map(function(df, g) {
    ggplot(df,aes(x=factor(round(.eval_time,2)), y=paste(wflow_id, .config), fill=.estimate)) +
    geom_tile() +
    coord_cartesian(expand=0) +
    scale_fill_viridis_c(option='turbo') + labs(title=g, x='eval_time (days)', y='')
}) 
Joining with `by = join_by(.metric, .estimator, .eval_time, .config, wflow_id)`
[[1]]

[[2]]
../../_images/a3e515caa5da302d4f14934fb9a0cf03f0415e3a3a3b3a250d40e847957e11c5.png ../../_images/6eddb705567c076a927554737ea6bf07ffb5eb455c19b8a0ad3ac79ce58c5aa6.png

Variable Importance#

names(final_fits$fit)
  1. 'recipe_cox_ph_survival'
  2. 'recipe_cox_ph_glmnet'
  3. 'recipe_survreg_flexsurv'
  4. 'recipe_rand_forest_partykit'
  5. 'recipe_rand_forest_aorsf'
  6. 'recipe_decision_tree_partykit'
  7. 'recipe_boost_tree_mboost'
final_fits$fit[['recipe_cox_ph_glmnet']] |>
extract_spec_parsnip()
Proportional Hazards Model Specification (censored regression)

Main Arguments:
  penalty = 0.0238338401768485
  mixture = 0.843754897918552

Computational engine: glmnet 
final_fits$fit[['recipe_cox_ph_glmnet']] |>
extract_fit_engine() |>
tidy() |>
filter(abs(lambda - 0.0238338401768485)<0.001) |>
mutate(exp.estimate=exp(estimate)) |>
ggplot(aes(x=exp.estimate, y=fct_reorder(term, estimate))) + 
geom_vline(xintercept=1, color='darkgray') +
geom_point(size=5, shape=18) +
scale_x_sqrt() +
labs(x='hazard ratio at lambda.min', y='variable')
final_fits$fit[['recipe_boost_tree_mboost']] |>
extract_spec_parsnip()
Boosted Tree Model Specification (censored regression)

Main Arguments:
  trees = 94

Computational engine: mboost 
mboost_obj <-
final_fits$fit[['recipe_boost_tree_mboost']] |>
extract_fit_parsnip()
prec <-
final_fits$fit[['recipe_boost_tree_mboost']] |>
extract_recipe()
train_data <-
bake(prec,new_data=training(data_split), all_predictors())
library(doFuture)
registerDoFuture()
shap.vals <- fastshap::explain(mboost_obj, X = head(train_data,100), nsim=100, pred_wrapper = function(obj,newdata) pull(predict(obj,new_data=newdata),.pred_time), shap_only=FALSE, parallel=TRUE)
Warning message:
"UNRELIABLE VALUE: One of the foreach() iterations ('doFuture-1') unexpectedly generated random numbers without declaring so. There is a risk that those random numbers are not statistically sound and the overall results might be invalid. To fix this, use '%dorng%' from the 'doRNG' package instead of '%dopar%'. This ensures that proper, parallel-safe random numbers are produced via the L'Ecuyer-CMRG method. To disable this check, set option 'doFuture.rng.onMisuse' to "ignore"."
Warning message:
"UNRELIABLE VALUE: One of the foreach() iterations ('doFuture-2') unexpectedly generated random numbers without declaring so. There is a risk that those random numbers are not statistically sound and the overall results might be invalid. To fix this, use '%dorng%' from the 'doRNG' package instead of '%dopar%'. This ensures that proper, parallel-safe random numbers are produced via the L'Ecuyer-CMRG method. To disable this check, set option 'doFuture.rng.onMisuse' to "ignore"."
Warning message:
"UNRELIABLE VALUE: One of the foreach() iterations ('doFuture-3') unexpectedly generated random numbers without declaring so. There is a risk that those random numbers are not statistically sound and the overall results might be invalid. To fix this, use '%dorng%' from the 'doRNG' package instead of '%dopar%'. This ensures that proper, parallel-safe random numbers are produced via the L'Ecuyer-CMRG method. To disable this check, set option 'doFuture.rng.onMisuse' to "ignore"."
Warning message:
"UNRELIABLE VALUE: One of the foreach() iterations ('doFuture-4') unexpectedly generated random numbers without declaring so. There is a risk that those random numbers are not statistically sound and the overall results might be invalid. To fix this, use '%dorng%' from the 'doRNG' package instead of '%dopar%'. This ensures that proper, parallel-safe random numbers are produced via the L'Ecuyer-CMRG method. To disable this check, set option 'doFuture.rng.onMisuse' to "ignore"."
Warning message:
"UNRELIABLE VALUE: One of the foreach() iterations ('doFuture-5') unexpectedly generated random numbers without declaring so. There is a risk that those random numbers are not statistically sound and the overall results might be invalid. To fix this, use '%dorng%' from the 'doRNG' package instead of '%dopar%'. This ensures that proper, parallel-safe random numbers are produced via the L'Ecuyer-CMRG method. To disable this check, set option 'doFuture.rng.onMisuse' to "ignore"."
Warning message:
"UNRELIABLE VALUE: One of the foreach() iterations ('doFuture-6') unexpectedly generated random numbers without declaring so. There is a risk that those random numbers are not statistically sound and the overall results might be invalid. To fix this, use '%dorng%' from the 'doRNG' package instead of '%dopar%'. This ensures that proper, parallel-safe random numbers are produced via the L'Ecuyer-CMRG method. To disable this check, set option 'doFuture.rng.onMisuse' to "ignore"."
sv <- shapviz(shap.vals)
sv_importance(sv, kind = "beeswarm")

Futher reading#