suppressPackageStartupMessages({
library(tidyverse)
library(cowplot)
library(ggrepel)
library(ggbeeswarm)
library(patchwork)
library(RColorBrewer)
library(pheatmap)
library(broom)
})
theme_set(theme_cowplot())
options(repr.plot.width=15,repr.plot.height=9, width=150)

Crinacle IEMs Ranking#

data preprocessing#

# data downloaded from the site on 2023-11-17
a <- read_csv("crinacle.csv", col_types='', name_repair = 'universal')

# group signatures into fewer categories
a <- mutate(a, sig_group=case_when(
    grepl("Balanced", Signature) ~ "Neutral",
    Signature == "Mid-centric" ~ "Neutral",
    Signature == "Bassy" ~ "Warm",
    grepl("Dark", Signature) ~ "Warm",
    grepl("Warm", Signature) ~ "Warm",
    grepl("Bright", Signature) ~ "Bright",
    grepl("failure", Signature) ~ "Unique",
    Signature == "Variable" ~ "Unique",
    Signature == "W-shaped" ~ "Unique",
    grepl("U-shape", Signature) ~ "U-shaped",
    grepl("V-shape", Signature) ~ "V-shaped",
    grepl("Neutral with", Signature) ~ "Neutral",
    TRUE ~ Signature
))

rank_levels <- c(
    'N/A', 'DQ', 'F', 'E', 
    'D-', 'D', 'D+',
    'C-', 'C', 'C+',
    'B-', 'B', 'B+',
    'A-', 'A', 'A+',
    'S-', 'S', 'S+'
)

# transform ranks into ordered factors
a <- mutate(a, 
    Rank=ordered(Rank, levels=rank_levels),
    Technical.Grade=ordered(Technical.Grade, levels=rank_levels),
    Tone.Grade=ordered(Tone.Grade, levels=rank_levels),
    Value.Rating=ordered(replace_na(Value.Rating, ''), levels=c('', '★','★★','★★★'))
)

a <- mutate(a,
    # extract brand from model
    brand=str_extract(Model, '^\\S+'),
    # number of total drivers
    n_drivers=unlist(map(str_split(Setup, ' '), ~ sum(as.numeric(replace_na(str_extract(.x, '\\d+'), "1"))))),
    # number of distict drivers
    n_setup=lengths(str_split(Setup, ' ')),
    # group setup into fewer categories
    setup_group=case_when(
        grepl("^\\d+DD$", Setup) ~ "DD",
        grepl("^\\d+BA$", gsub("\\/","",Setup)) ~ "BA",
        grepl("\\?|MS|Piezo|BC|Exciter|AMT", Setup) ~ "Others",
        Setup == 'Electrostatic' ~ 'EST',
        n_setup == 2 ~ "Hybrid",
        n_setup == 3 ~ 'Tribrid',
        TRUE ~ Setup
    )
)

# rename some columns
a <- rename(a,
    Price_MSRP=Pricesort
)

# remove discontinued/free stuff
a <- filter(a, Price_MSRP>0, Price_MSRP<99999)
New names:
 `Value Rating` -> `Value.Rating`
 `Price (MSRP)` -> `Price..MSRP.`
 `Tone Grade` -> `Tone.Grade`
 `Technical Grade` -> `Technical.Grade`
head(a)
A tibble: 6 × 19
RankValue.RatingModelPrice..MSRP.SignatureCommentsTone.GradeTechnical.GradeSetupStatusRanksortTonesortTechsortPrice_MSRPsig_groupbrandn_driversn_setupsetup_group
<ord><ord><chr><chr><chr><chr><ord><ord><chr><chr><dbl><dbl><dbl><dbl><chr><chr><dbl><int><chr>
S-★★ Hidition Viento(B-mode, custom)950 Variable Best-in-class tuning and tonal balance with near-perfect coherency. Recommended as a custom-fit. S+A+4BA Zeppelin & Co demo unit 14 113 950Unique Hidition 41BA
S-★★ ThieAudio Monarch Mk2 1000Neutral with bass boostNA S+A+2EST 6BA 1DDAvailable for demo at The Hangout14 1131000Neutral ThieAudio 93Tribrid
A+Hidition NT6 1050Neutral If Etymotic made a multi-BA IEM, this would be the closest to that dream S-A+6BA Null Audio demo unit 20 7131050Neutral Hidition 61BA
A+ThieAudio V16 Divinity 1500Neutral with bass boostNA S-A+16BA Available for demo at The Hangout20 7131500Neutral ThieAudio161BA
A+Sony IER-Z1R 1700Mild V-shape Extended yet natural treble, realistic sub-bass focus and spacious imaging capabilities. A+S-1BA 2DD Personal unit 2013 71700V-shapedSony 32Hybrid
A+★★★Moondrop Variations 520 U-shaped Sub-bass-focused signature with Moondrop's clean tuning makes this one of the best $500 tribrids.S A 2EST 2BA 1DDAvailable for demo at The Hangout24 321 520U-shapedMoondrop 53Tribrid

Grade Correlations#

select(a, Model, Rank, Technical.Grade, Tone.Grade, Value.Rating) |>
pivot_longer(names_to = 'k', values_to = 'v', -c(Model, Value.Rating)) %>%
inner_join(eval(.), by=c('Model', 'Value.Rating'), relationship = "many-to-many") |>
filter(k.x<k.y) |>
mutate(l=paste(k.x, 'x',k.y)) |>
mutate(v=abs(as.numeric(v.x)-as.numeric(v.y))) |>
arrange(Value.Rating) -> b
ggplot(b, aes(x=v.x, y=v.y, color=Value.Rating)) + 
scale_color_manual(values=c('gray','#c7e9c0','#74c476','#006d2c')) +
geom_jitter() + 
facet_wrap(~l) +
labs(x='', y='') +
theme(axis.text.y=element_text(hjust=0)) +
geom_label_repel(data=filter(b, v>7), aes(label=Model), size=4, position=position_jitter(), show.legend = FALSE)

the table includes 3 different grades: Technical, Tone, and overall Rank.

as we can see in the plots, the grades correlate very well with each other, with the exception of a few models labeled in the graph.

with this in mind, in the following analyses, I will focus just on the overall ranking.

Rank distribution#

p1 <- ggplot(a, aes(x=Rank, fill=sig_group)) + geom_bar() + coord_cartesian(expand=0)
p2 <- ggplot(a, aes(x=Rank, fill=sig_group)) + geom_bar(position='fill') + labs(y='frequency') + coord_cartesian(expand=0)
p1 + p2 + plot_layout(guides='collect')

on the left we can see the total amount of headphones by rank, we see a somewhat normally-shaped distribution, with C-Ranks as the most common headphones in the table.

on the right we see the relative frequency of sound signatures by rank, note how warm signatures are frequent at the lower ranks but go down in frequency, while neutral, V-shaped and “unique” signatures dominate the higher ranks.

Price distribution#

p1 <- ggplot(a, aes(x=Price_MSRP, fill=Rank)) + 
geom_histogram(bins = 15) + 
scale_x_log10()

p2 <- ggplot(a, aes(y=Rank, x=Price_MSRP)) + 
geom_boxplot() + 
scale_x_log10() + 
geom_quasirandom(alpha=0.8, color='gray') +
geom_vline(xintercept=1000, linetype=2, color='darkblue')

p1 + p2
Orientation inferred to be along y-axis; override with `position_quasirandom(orientation = 'x')`
../../_images/67d4cab65697e8f7749af63dd86341d43c322b0205a6005491f7eafa8d79c33d.png

on the left, we can see the overall price distribution of all headphones, note that the x-axes here are log-scaled, we can see headphones for as low as 5 and as high as 10k, but most headphones, are priced around 100~1000.

on the right, we can see the price breakdown by rank, note how even though there is a tendency for higher-ranked headphones to be more expensive you shouldn’t have to spend more than 1k to have the best-sounding headphones.

There still is a lot of variation even among headphones of the same rank, as an example, let’s look at the price variation of rank B headphones:

filter(a, Rank=='B') |> with(summary(Price_MSRP))
   Min. 1st Qu.  Median    Mean 3rd Qu.    Max. 
     20     300     700     896    1100    3800 

even though the median price is 700, you can find headphones at this rank for as low as 20 and as high as 3800 !!

obviously, there is more to the price than just sound, but since this dataset only grades the sonic performance, a natural question that follows is: what is the best price for performance that we can get?

Price x Rank#

b <- 
    arrange(a, Price_MSRP) |>
    group_by(Rank) |> 
    mutate(pr=row_number()) |> 
    ungroup() |>
    filter(Rank>="C")

ggplot(b, aes(y=Rank, x=Price_MSRP, color=Value.Rating)) + 
geom_quasirandom() + 
scale_color_hue() +
geom_label_repel(data=filter(b, pr<10), aes(label=Model), min.segment.length = 0, max.overlaps = 20, position = position_quasirandom(), show.legend = FALSE) + 
scale_x_log10()
Orientation inferred to be along y-axis; override with `position_quasirandom(orientation = 'x')`
Orientation inferred to be along y-axis; override with `position_quasirandom(orientation = 'x')`
../../_images/7dfc64b169024d5b651993327a086558a8900592b0b622e00f361352644e6fca.png

here we have a scatter plot of the Rank x Price, I only included C-Rank and above because I think if you only care about sound performance there is nothing worth the money below this rank.

the top 10 cheapest headphones of each rank are labeled in the graph, and the colors indicate the “Value Rating” from the dataset.

What about TWS ?#

filter(b, grepl("Sams|Appl", Model)|grepl("TWS",Comments), pr<10, Price_MSRP>10)
A tibble: 6 × 20
RankValue.RatingModelPrice..MSRP.SignatureCommentsTone.GradeTechnical.GradeSetupStatusRanksortTonesortTechsortPrice_MSRPsig_groupbrandn_driversn_setupsetup_grouppr
<ord><ord><chr><chr><chr><chr><ord><ord><chr><chr><dbl><dbl><dbl><dbl><chr><chr><dbl><int><chr><int>
B ★★★Lypertek PurePlay Z3 2.0(PurePlay Z3)(Tevi)90 Neutral with bass boostProbably the closest thing to an ER2XR in TWS form. A C+DD Jaben Melbourne demo unit 1122191 90Neutral Lypertek11DD5
B ★★ Samsung Galaxy Buds 130Neutral A surprisingly well-tuned TWS with the technical chops to boot. A-B DD Personal unit 883157130Neutral Samsung 11DD7
B ★★ Samsung Galaxy Buds+ 150U-shaped Tuned even closer to the Harman IE target compared to the original. B+B 2DDPersonal unit 1004357150U-shapedSamsung 21DD8
B+★★ Samsung Galaxy Buds Pro 200Warm V-shape More lower mids than your average Harman-tuned IEM, but works in its favour by being more pleasant. A+B 2DDAvailable for demo at The Hangout 701357200Warm Samsung 21DD6
B+★★ Samsung Galaxy Buds2 Pro 230U-shaped A less shouty interpretation of Harman with the same controlled yet impactful bass response. S-B 2DDAvailable for demo at The Hangout 64 757230U-shapedSamsung 21DD8
B+★★ Apple AirPods Pro 2 250Mild V-shape A more exciting sound signature in comparison to its predecessor, with little in terms of drawbacks.A+B DD Available for demo at The Hangout 701357250V-shapedApple 11DD9

Interestingly, some wireless buds make it into the top 10, it’s not the best you can get for the money but it’s up there which I found notable.

Brands#

filter(b, Rank>"C", pr<10) |>
add_count(brand, name='total') |>
ggplot(aes(y=fct_reorder(brand, total), fill=Rank)) +
geom_bar(position='stack') +
labs(y="") +
coord_cartesian(expand=0)

if we group these selected top 10s by brand, we see that Moondrop appears 11 times across the ranks C and above, followed by ThieAudio.

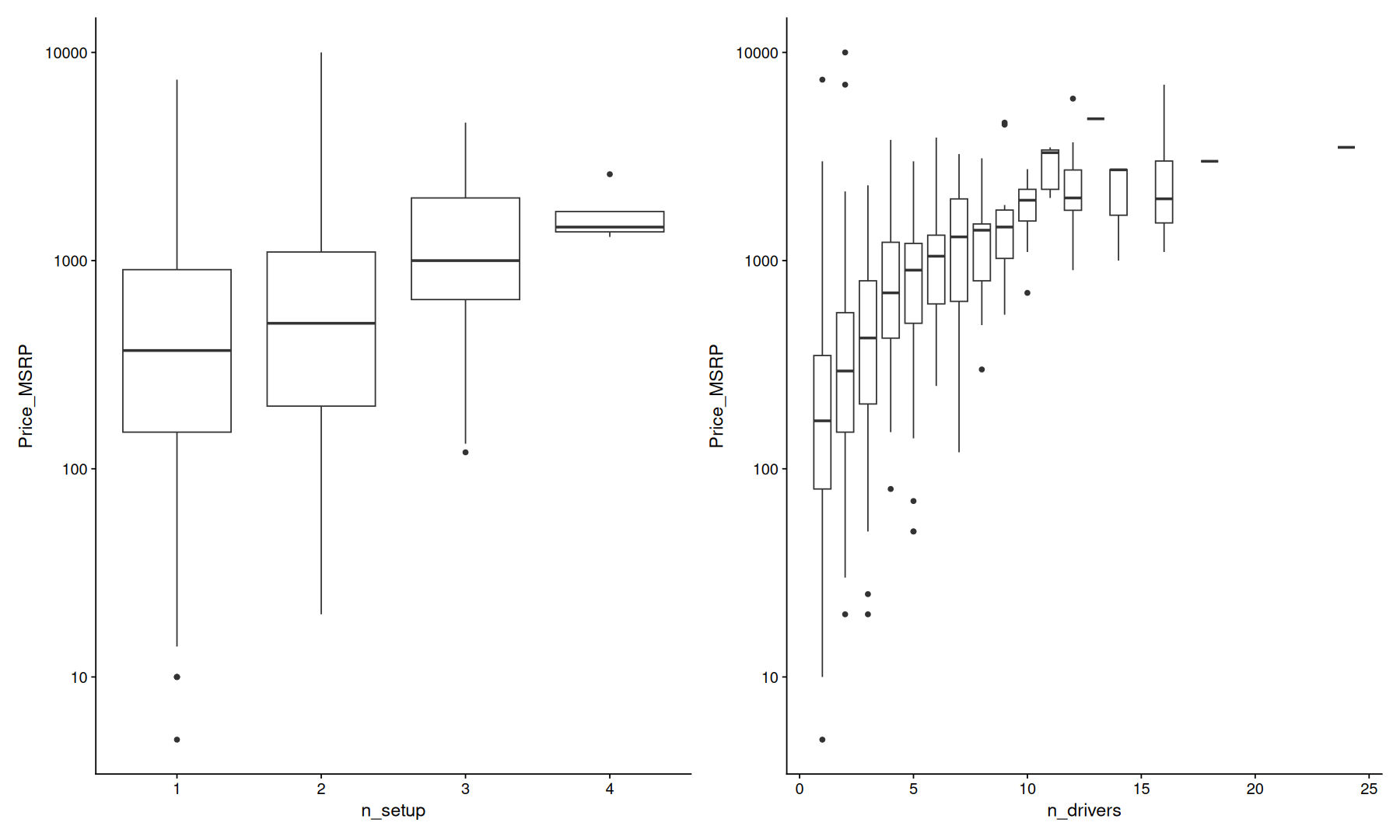
Setup#

p1 <- ggplot(a, aes(x=n_setup, y=Price_MSRP, group=n_setup)) + 
geom_boxplot() + 
scale_y_log10()

p2 <- ggplot(a, aes(x=n_drivers, y=Price_MSRP)) + geom_boxplot(aes(group=n_drivers)) + scale_y_log10()

p1+p2

there is a clear correlation between the total number of drivers, drivers setup, and the price, as expected.

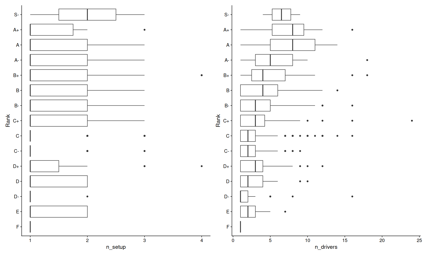
p1 <- ggplot(a, aes(x=n_setup, y=Rank)) + geom_boxplot()
p2 <- ggplot(a, aes(x=n_drivers, y=Rank)) + geom_boxplot()

p1+p2

more drivers do not necessarily mean better sound, although highly ranked headphones tend to have more drivers.

ggplot(a, aes(x=Rank, y=Price_MSRP, color=Value.Rating)) + 
geom_jitter(size=2) +
facet_wrap(~setup_group) +
scale_y_log10() +
theme(legend.position='bottom')
filter(a, !is.na(setup_group)) |>
ggplot(aes(x=Rank, y=fct_reorder(setup_group,as.numeric(Rank)), group=setup_group)) + 
geom_boxplot(outlier.shape = NA) +
geom_jitter(height=0.2,color='gray30',alpha=0.3) +
labs(y="")

Regression model for Rank#

mutate(a, 
       n_DD=as.numeric(ifelse(grepl("DD", Setup), replace_na(str_extract(Setup, '(\\d+)DD', group=1), "1"), 0)),
       n_BA=as.numeric(ifelse(grepl("BA", Setup), replace_na(str_extract(Setup, '(\\d+)BA', group=1), "1"), 0)),
       n_EST=as.numeric(ifelse(grepl("EST|Electrostatic", Setup), replace_na(str_extract(Setup, '(\\d+)EST', group=1), "1"), 0)),
       n_planar=as.numeric(ifelse(grepl("Planar", Setup), replace_na(str_extract(Setup, '(\\d+)Planar', group=1), "1"), 0))
) |>
glm(as.numeric(Rank) ~ log(Price_MSRP) + n_drivers + n_setup + n_planar + n_DD + n_EST + n_BA + sig_group + setup_group, data=_, family = 'gaussian') -> m
summary(m)
Call:
glm(formula = as.numeric(Rank) ~ log(Price_MSRP) + n_drivers + 
    n_setup + n_planar + n_DD + n_EST + n_BA + sig_group + setup_group, 
    family = "gaussian", data = mutate(a, n_DD = as.numeric(ifelse(grepl("DD", 
        Setup), replace_na(str_extract(Setup, "(\\d+)DD", group = 1), 
        "1"), 0)), n_BA = as.numeric(ifelse(grepl("BA", Setup), 
        replace_na(str_extract(Setup, "(\\d+)BA", group = 1), 
            "1"), 0)), n_EST = as.numeric(ifelse(grepl("EST|Electrostatic", 
        Setup), replace_na(str_extract(Setup, "(\\d+)EST", group = 1), 
        "1"), 0)), n_planar = as.numeric(ifelse(grepl("Planar", 
        Setup), replace_na(str_extract(Setup, "(\\d+)Planar", 
        group = 1), "1"), 0))))

Coefficients:
                           Estimate       Std. Error  t value   Pr(>|t|)    
(Intercept)         5.0388646194512  0.7059948937889  7.13725 1.8868e-12 ***
log(Price_MSRP)     0.3876471381845  0.0702759023098  5.51607 4.4671e-08 ***
n_drivers          -2.1050299659669  0.5819941972715 -3.61693 0.00031378 ***
n_setup             1.1794861463120  0.4946853124821  2.38432 0.01730591 *  
n_planar            0.6001636438329  0.8015013761459  0.74880 0.45416316    
n_DD                1.5737409820566  0.6235871424272  2.52369 0.01177476 *  
n_EST               2.1732189427560  0.6015507027739  3.61269 0.00031888 ***
n_BA                2.2739762780733  0.5791393801483  3.92647 9.2414e-05 ***
sig_groupNeutral    1.1106529366202  0.2823646301092  3.93340 8.9832e-05 ***
sig_groupU-shaped   1.8555293224095  0.3691330964797  5.02672 5.9594e-07 ***
sig_groupUnique    -0.3763688609290  0.4086378940143 -0.92103 0.35726669    
sig_groupV-shaped   0.7164846781807  0.2681806694116  2.67165 0.00767684 ** 
sig_groupWarm      -0.5816734492416  0.2728846228803 -2.13157 0.03329753 *  
setup_groupDD       0.9183154894721  0.3545251992584  2.59027 0.00973667 ** 
setup_groupEST      1.9803622239615  1.5185396115553  1.30412 0.19250692    
setup_groupHybrid  -0.2931567125193  0.5374543577266 -0.54545 0.58556898    
setup_groupOthers   1.1223559977683  0.9857057289061  1.13863 0.25514316    
setup_groupPlanar   1.8350494465020  0.7869457285812  2.33186 0.01991571 *  
setup_groupTribrid -0.3794302558383  1.0502003203315 -0.36129 0.71796042    
---
Signif. codes:  0 '***' 0.001 '**' 0.01 '*' 0.05 '.' 0.1 ' ' 1

(Dispersion parameter for gaussian family taken to be 4.44009424513967)

    Null deviance: 5705.946446962  on 970  degrees of freedom
Residual deviance: 4226.969721373  on 952  degrees of freedom
  (2 observations deleted due to missingness)
AIC: 4223.836289681

Number of Fisher Scoring iterations: 2
tidy(m) |> 
filter(term!='(Intercept)') |>
ggplot(aes(x=estimate, y=fct_reorder(term, estimate), color=p.value<0.05)) + 
geom_point(size=3) +
geom_errorbar(aes(xmin=estimate-std.error, xmax=estimate+std.error)) +
geom_vline(xintercept=0, linetype=2) +
labs(y='')

the number of BA, EST, and DD drivers was associated with better ranking but the number of planar drivers did not affect the prediction.

the number of distinct drivers had a positive effect while the total number of drivers was associated with a worst ranking.

Neutral, U-shaped, and V-shaped signatures were associated with better rank while Warm signatures were associated with worse rank.

among different setup groups, Planar, EST, and DD had a positive effect.

price had a small but significant positive effect on ranking.

note however that these interpretations are only valid when the model is utilizing all these variables together, the interpretation could change if we were to add or remove some of these variables.