suppressPackageStartupMessages({
library(Seurat)
library(SeuratData)
library(tidyverse)
library(pheatmap)
library(RColorBrewer)
library(ggbeeswarm)
library(cowplot)
library(ggcompare)
library(compositions)
library(DirichletReg)
})
theme_set(theme_cowplot())
options(repr.plot.width=15, repr.plot.height=9, width=120)

Compositional data difference test#

data#

panc8 <- suppressMessages(LoadData("panc8"))
panc8
Warning message:
"Assay RNA changing from Assay to Assay"
Warning message:
"Assay RNA changing from Assay to Assay5"
An object of class Seurat 
34363 features across 14890 samples within 1 assay 
Active assay: RNA (34363 features, 0 variable features)
 2 layers present: counts, data
panc8@meta.data |>
head()
A data.frame: 6 × 8
orig.identnCount_RNAnFeature_RNAtechreplicateassigned_clustercelltypedataset
<chr><dbl><int><chr><chr><chr><chr><chr>
D101_5D101 4615.8101986celseqcelseqNAgamma celseq
D101_7D10129001.5634209celseqcelseqNAacinarcelseq
D101_10D101 6707.8572408celseqcelseqNAalpha celseq
D101_13D101 8797.2242964celseqcelseqNAdelta celseq
D101_14D101 5032.5582264celseqcelseqNAbeta celseq
D101_17D10113474.8663982celseqcelseqNAductalcelseq
metadata <-
    panc8@meta.data |>
    distinct(orig.ident, tech) |>
    as_tibble()
head(metadata)
A tibble: 6 × 2
orig.identtech
<chr><chr>
D101 celseq
D102 celseq
D10631 celseq
D1713 celseq
D172444celseq
D17All1celseq

Counts#

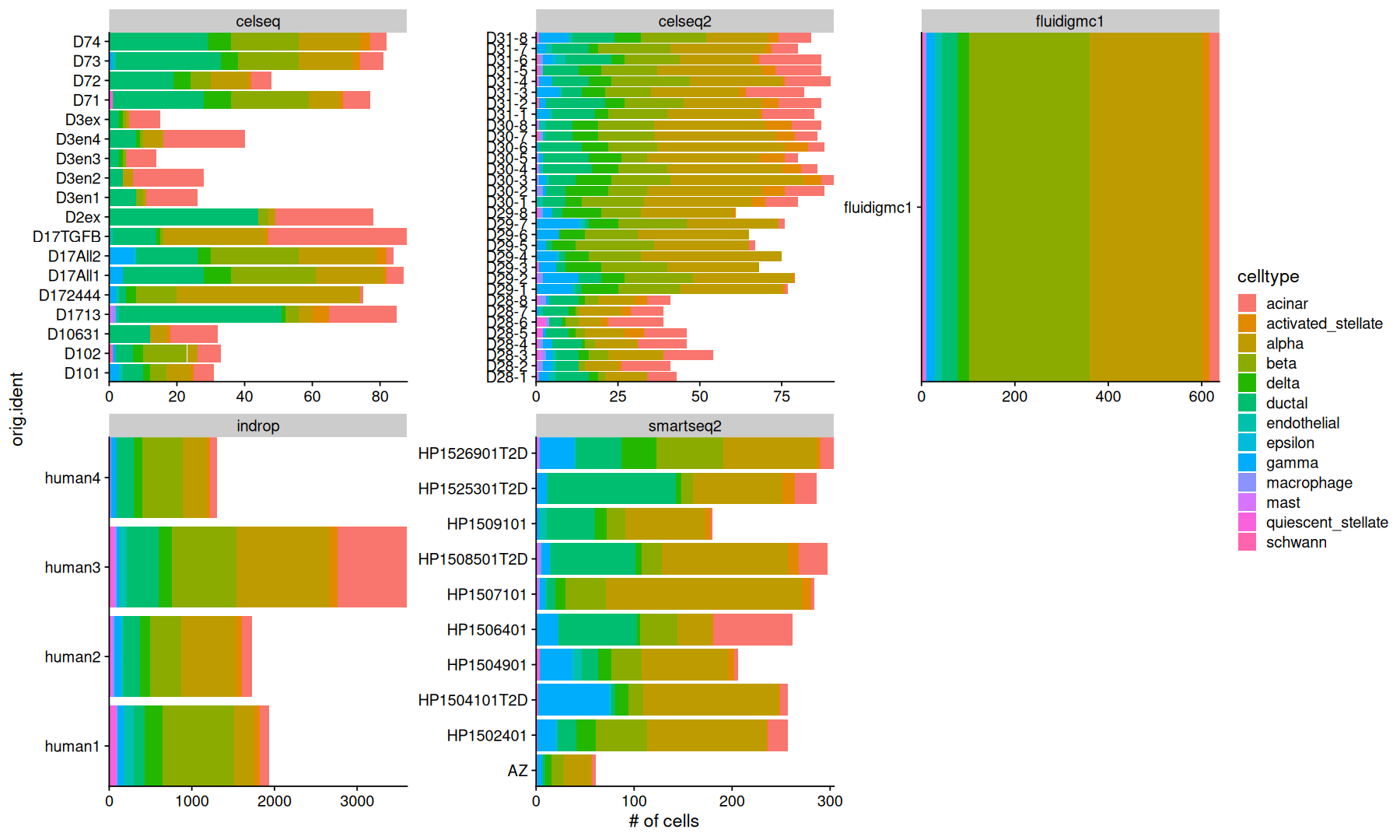
This is a pancreatic single cell dataset consisting of 65 samples, 13 different cell types, measured with 5 different techniques.

Here, we will ignore the gene expression, and just look at the cell composition of each sample/tech.

panc8@meta.data |>
count(orig.ident, celltype, tech) |>
ggplot(aes(y=orig.ident, x=n, fill=celltype)) + 
geom_col() +
labs(x='# of cells') +
facet_wrap(~tech, scales='free') +
coord_cartesian(expand=0)

Counts are the simplest way to look at the data.

However, differences in the total number of cells between samples and techniques aren’t relevant to us.

ncells_mtx <-
    panc8@meta.data |>
    # I am combining celltypes with low amount of cells into "other"
    # this is just for illustration purposes
    mutate(ct2 = ifelse(celltype %in% c('epsilon','schwann','mast','macrophage','quiescent_stellate','endothelial'), 'other', celltype)) |>
    count(orig.ident, ct2) |>
    pivot_wider(names_from = ct2, values_from = n, values_fill = 0) |>
    column_to_rownames('orig.ident')
ncells_mtx[1:5,]; sum(ncells_mtx)
A data.frame: 5 × 8
acinaractivated_stellatealphabetadeltaductalgammaother
<int><int><int><int><int><int><int><int>
AZ 4128127 351
D101 61 7 52 631
D102 70 3133 511
D10631141 5 001200
D1713205 4 414803
14890
colSums(ncells_mtx)
acinar
1864
activated_stellate
474
alpha
4615
beta
3679
delta
1013
ductal
1954
gamma
625
other
666

Percentages#

Percentages uses the sum of the cells in each sample as the normalizing denominator, so that each row will sum to 1.

The “acomp” function is part of the compositions package, and does this normalization for us.

summary(rowSums(acomp(ncells_mtx)))
   Min. 1st Qu.  Median    Mean 3rd Qu.    Max. 
      1       1       1       1       1       1 
color_p = colorRampPalette(rev(brewer.pal('Spectral', n=11)))(100)
acomp(ncells_mtx) |>
pheatmap(
    color=color_p,
    clustering_method='ward.D2',
    clustering_disttance_rows='canberra',
    clustering_disttance_cols='canberra',
    annotation_row=column_to_rownames(metadata, 'orig.ident'),
    border_color=NA
)

Difference test#

To compare the proportions between cell types, we can use a statistical test.

comparisons <- combn(unique(metadata$tech), 2, simplify = FALSE)
test_func <- function(...) {
    r = wilcox.test(..., exact=FALSE)
    list(p.value=r$p.value, method='wilcox.test')
}
acomp(ncells_mtx) |>
as.data.frame() |>
rownames_to_column('orig.ident') |>
pivot_longer(names_to = 'celltype', values_to = 'cell_percentage', cols=-orig.ident) |>
inner_join(metadata, by='orig.ident') |>
ggplot(aes(x=tech, y=cell_percentage)) +
geom_boxplot(color='darkgray', outlier.shape = NA) +
geom_quasirandom() +
stat_compare(comparisons = comparisons, correction = 'fdr', cutoff=0.1, panel_indep = TRUE, method=test_func) +
theme(axis.text.x=element_text(angle=90, vjust=0, hjust=1)) +
facet_wrap(~celltype, ncol=4)
Warning message:
"Removed 67 rows containing missing values or values outside the scale range (`geom_bracket()`)."
../../_images/d3142080ab0db0509e4a34d359f4e68aee67a481092279a8e7959590155faa6d.png

Many cell types show significant pvalues, but since the cell types are parts of a whole, its difficult to attribute this change to a specific cell type.

clr transform#

The clr transform uses the geometric mean of the subsets as the denominator.

the clr() function is also part of the compositions package.

acomp(ncells_mtx) |>
clr() |>
as.data.frame() |>
rownames_to_column('orig.ident') |>
pivot_longer(names_to = 'celltype', values_to = 'clr_log_ratio', cols=-orig.ident) |>
inner_join(metadata, by='orig.ident') |>
ggplot(aes(x=tech, y=clr_log_ratio)) +
geom_hline(yintercept=0, color='gray', linetype=2) +
geom_boxplot(color='darkgray', outlier.shape = NA) +
geom_quasirandom() +
stat_compare(comparisons = comparisons, correction = 'fdr', cutoff=0.1, panel_indep=TRUE, method=test_func) +
theme(axis.text.x=element_text(angle=90, vjust=0, hjust=1)) +
facet_wrap(~celltype, ncol=4)
Warning message:
"Removed 76 rows containing missing values or values outside the scale range (`geom_bracket()`)."
../../_images/95a6ec6b8a369feb3478763cf72fc821e961881911f63e115b805086c067cfa4.png

notice how many of the significant pvalues disappeared.

alr transform#

The alr transform uses a specified subset as the denominator, here the cell type “other” was used.

acomp(ncells_mtx) |>
alr(ivar='other') |> # using celltype 'other' as the denominator
as.data.frame() |>
rownames_to_column('orig.ident') |>
pivot_longer(names_to = 'celltype', values_to = 'alr_log_ratio', cols=-orig.ident) |>
inner_join(metadata, by='orig.ident') |>
ggplot(aes(x=tech, y=alr_log_ratio)) +
geom_hline(yintercept=0, color='gray', linetype=2) +
geom_boxplot(color='darkgray', outlier.shape = NA) +
geom_quasirandom() +
stat_compare(comparisons = comparisons, correction = 'fdr', cutoff=0.2, panel_indep = TRUE, method=test_func) +
theme(axis.text.x=element_text(angle=90, vjust=0, hjust=1)) +
facet_wrap(~celltype, ncol=4)
Warning message:
"Removed 113 rows containing non-finite outside the scale range (`stat_boxplot()`)."
Warning message:
"Removed 113 rows containing non-finite outside the scale range (`stat_compare()`)."
Warning message:
"Removed 26 rows containing missing values or values outside the scale range (`position_quasirandom()`)."
Warning message:
"Removed 87 rows containing missing values or values outside the scale range (`geom_point()`)."
Warning message:
"Removed 67 rows containing missing values or values outside the scale range (`geom_bracket()`)."
../../_images/08a2ff39f4bf20450837d539b90a1291e0d3d42ebf510ff5fa6bf8a01ebbbaf5.png

No cell types show significant (<0.1) pvalues here.

but remember to think carefully about which subset to use as the denominator.

Dirichlet regression#

The Dirichlet distribution models the probability of a multinomial random variable that sums to 1.

It provides an alternative to log-ratio regression for the modeling of compositional data.

meta <- filter(metadata, tech != 'fluidigmc1') # remove outlier

z <- ncells_mtx[meta$orig.ident,] 
z <- z/rowSums(z)

all(rownames(z) == meta$orig.ident) # make sure its in the same order
TRUE
dr <- DR_data(z)
summary(rowSums(dr))
Warning message in DR_data(z):
"some entries are 0 or 1 => transformation forced"
   Min. 1st Qu.  Median    Mean 3rd Qu.    Max. 
      1       1       1       1       1       1 

Note that the Dirichlet distribution can’t model zeroes or ones, so a transformation was applied in these cases.

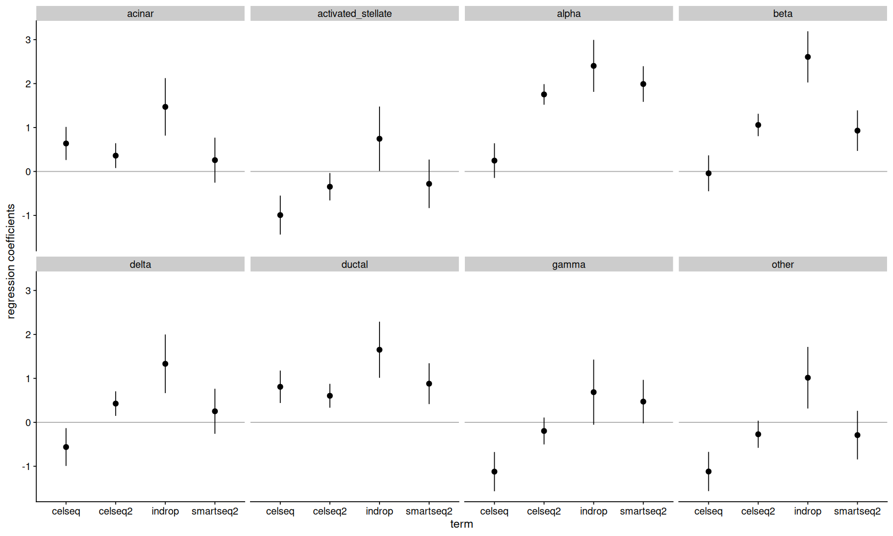
reg <- DirichReg(dr ~ tech - 1, meta)
reg
Call:
DirichReg(formula = dr ~ tech - 1, data = meta)
using the common parametrization

Log-likelihood: 771.9 on 32 df (105 BFGS + 1 NR Iterations)

-----------------------------------------
Coefficients for variable no. 1: acinar
   techcelseq    techcelseq2     techindrop  techsmartseq2  
       0.6371         0.3604         1.4701         0.2580  
-----------------------------------------
Coefficients for variable no. 2: activated_stellate
   techcelseq    techcelseq2     techindrop  techsmartseq2  
      -0.9922        -0.3468         0.7442        -0.2810  
-----------------------------------------
Coefficients for variable no. 3: alpha
   techcelseq    techcelseq2     techindrop  techsmartseq2  
       0.2472         1.7536         2.4029         1.9901  
-----------------------------------------
Coefficients for variable no. 4: beta
   techcelseq    techcelseq2     techindrop  techsmartseq2  
     -0.04158        1.05837        2.60706        0.92925  
-----------------------------------------
Coefficients for variable no. 5: delta
   techcelseq    techcelseq2     techindrop  techsmartseq2  
      -0.5621         0.4265         1.3318         0.2516  
-----------------------------------------
Coefficients for variable no. 6: ductal
   techcelseq    techcelseq2     techindrop  techsmartseq2  
       0.8086         0.6040         1.6510         0.8798  
-----------------------------------------
Coefficients for variable no. 7: gamma
   techcelseq    techcelseq2     techindrop  techsmartseq2  
      -1.1218        -0.1968         0.6864         0.4714  
-----------------------------------------
Coefficients for variable no. 8: other
   techcelseq    techcelseq2     techindrop  techsmartseq2  
      -1.1189        -0.2716         1.0149        -0.2910  
-----------------------------------------
tidy_dr <- function(dr_reg, exp=FALSE) {
    w = confint(dr_reg, exp=exp)
    map_df(1:length(w$coefficients), function(i) {
        if(exp) {
            cc <- base::exp(w$coefficients[[i]])
        } else {
            cc <- w$coefficients[[i]]
        }
        as.data.frame(w$ci[[1]][[i]]) |>
        rownames_to_column('term') |>
        rename(ci.low=V1, ci.high=V2) |>
        mutate(
            subset=names(w$coefficients)[[i]]
        ) |>
        inner_join(as_tibble(cc,rownames = 'term'), by='term')
    })
}
tidy_dr(reg, exp=FALSE) |>
mutate(term=gsub('tech','', term)) |>
ggplot(aes(x=term, y=value)) +
geom_hline(yintercept=0, color='darkgray') +
geom_point() +
geom_pointrange(aes(ymin=ci.low, ymax=ci.high)) +
facet_wrap(~subset, ncol=4) +
labs(y='regression coefficients')

Further reading#

https://en.wikipedia.org/wiki/Compositional_data

https://en.wikipedia.org/wiki/Dirichlet_distribution

http://www.stat.boogaart.de/compositions/

https://www.geo.fu-berlin.de/en/v/soga-r/Advances-statistics/Feature-scales/Intro_compositional_data/index.html

http://www.csam.or.kr/journal/view.html?doi=10.29220/CSAM.2022.29.4.453

https://ijbnpa.biomedcentral.com/articles/10.1186/s12966-018-0685-1