suppressPackageStartupMessages({
    library(tidyverse)
    library(cowplot)
    library(ggrepel)
    library(pheatmap)
})
theme_set(theme_cowplot())
options(repr.plot.width=9,repr.plot.height=7)

PCA visualization in R#

This guide illustrates how to visualize the results of a PCA analysis

There is a sister notebook to this one in Python here: PCA visualization in Python

Dataset#

# iris dataset is part of R base
head(iris,5)
A data.frame: 5 × 5
Sepal.LengthSepal.WidthPetal.LengthPetal.WidthSpecies
<dbl><dbl><dbl><dbl><fct>
15.13.51.40.2setosa
24.93.01.40.2setosa
34.73.21.30.2setosa
44.63.11.50.2setosa
55.03.61.40.2setosa

Run a PCA decomposition#

iris.data = select(iris, -Species)
pca_res = prcomp(iris.data)
dim(pca_res$x)
  1. 150
  2. 4

Scatter plot of observations#

Observations are projected on the first 2 components

pca_res$x %>% 
bind_cols(select(iris, Species)) %>%
ggplot(aes(x=PC1, y=PC2, color=Species)) + geom_point(size=3)

Explained variance (eigenvalues)#

The amount of variance explained by each of the components

var = pca_res$sdev ** 2
var
  1. 4.22824170603486
  2. 0.242670747928634
  3. 0.0782095000429193
  4. 0.0238350929734494
tibble(var_percent=100*var/sum(var),pc=colnames(pca_res$x)) %>%
ggplot(aes(x=pc, y=var_percent)) +
geom_col() +
geom_label(aes(label=round(var_percent,1)))

Cumulative variance#

tibble(var_percent=100*var/sum(var),pc=colnames(pca_res$x)) %>%
mutate(cumulative_var=cumsum(var_percent)) %>%
ggplot(aes(x=pc, y=cumulative_var,group=1)) +
geom_point(size=3) +
geom_line()

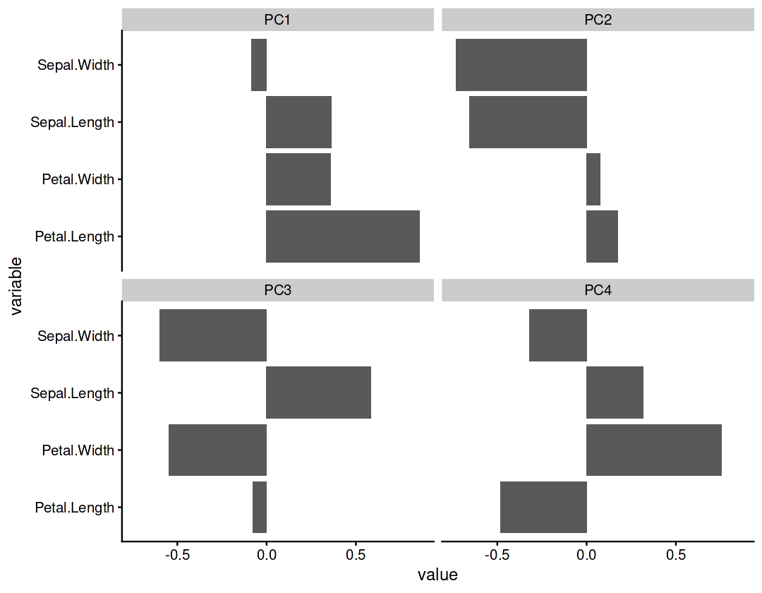
Component rotations (eigenvectors)#

Principal axes in feature space, representing the directions of maximum variance in the data

pca_res$rotation
A matrix: 4 × 4 of type dbl
PC1PC2PC3PC4
Sepal.Length 0.36138659-0.65658877 0.58202985 0.3154872
Sepal.Width-0.08452251-0.73016143-0.59791083-0.3197231
Petal.Length 0.85667061 0.17337266-0.07623608-0.4798390
Petal.Width 0.35828920 0.07548102-0.54583143 0.7536574
pca_res$rotation %>% 
as.data.frame() %>%
rownames_to_column('variable') %>%
pivot_longer(names_to = 'pc', values_to = 'value', -variable) %>%
ggplot(aes(y=variable, x=value)) + geom_col() + facet_wrap(~pc)

Component loadings#

Eigenvectors scaled by the square root of the eigenvalues

var_cor = t(pca_res$rotation) * pca_res$sdev
var_cor
A matrix: 4 × 4 of type dbl
Sepal.LengthSepal.WidthPetal.LengthPetal.Width
PC1 0.74310800-0.17380102 1.76154511 0.73673893
PC2-0.32344628-0.35968937 0.08540619 0.03718318
PC3 0.16277024-0.16721151-0.02132015-0.15264701
PC4 0.04870686-0.04936083-0.07408051 0.11635429
m = max(abs(var_cor))
t(var_cor) %>% 
as.data.frame() %>% 
rownames_to_column('var') %>%
ggplot(aes(x=PC1, y=PC2)) + 
geom_segment(arrow=arrow(),aes(x=0,y=0,xend=PC1,yend=PC2)) +
geom_vline(xintercept=0, linetype=2) +
geom_hline(yintercept=0, linetype=2) +
geom_label_repel(aes(label=var),box.padding = 1, min.segment.length = Inf)

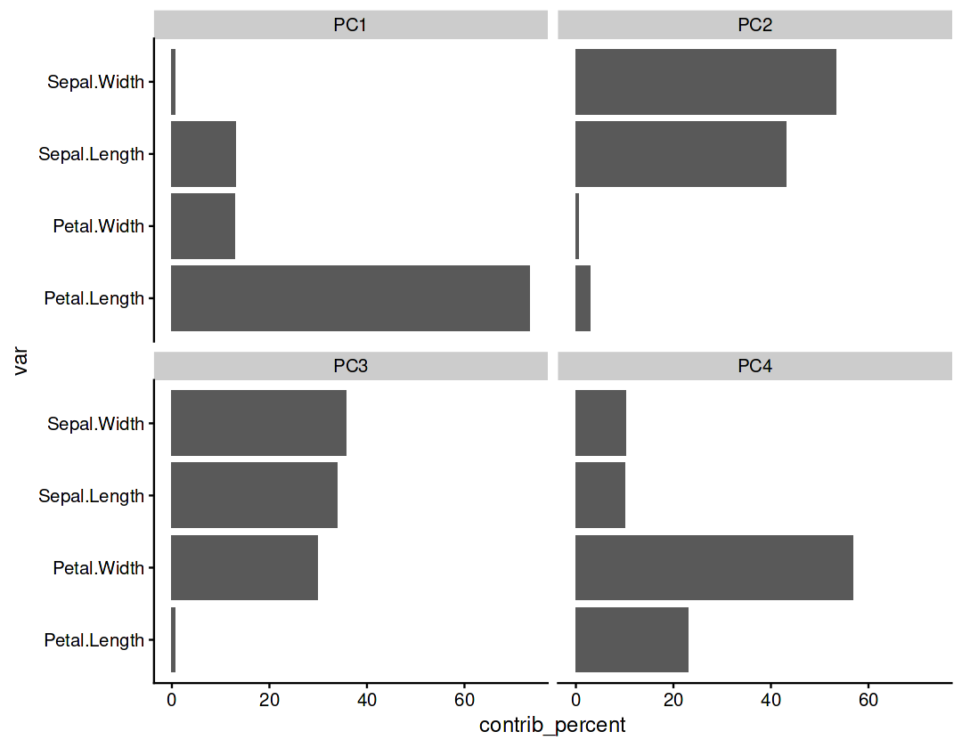
Component contributions#

Measures the contribution of the variables to each component

var_cos2 = var_cor ** 2
var_contrib = (100 * var_cos2) / rowSums(var_cos2)
var_contrib
A matrix: 4 × 4 of type dbl
Sepal.LengthSepal.WidthPetal.LengthPetal.Width
PC113.060027 0.714405573.388452712.8371149
PC243.11088153.3135721 3.0058080 0.5697384
PC333.87587535.7497361 0.581193929.7931952
PC4 9.95321710.222286323.024545356.7999515
var_contrib %>% 
as.data.frame() %>%
rownames_to_column('pc') %>%
pivot_longer(names_to = 'var', values_to = 'contrib_percent', -pc) %>%
ggplot(aes(y=var, x=contrib_percent)) + geom_col() + facet_wrap(~pc)

Correlation of all variables#

Compare the correlations with the components loadings found by PCA

cor(iris.data) %>% 
pheatmap(display_numbers = TRUE, border_color = NA, fontsize_number = 18, breaks = seq(-1,1,length.out = 101))